|
|
 |
|
 |
 |
 |
 |
|
|
|
|
|
|
Magnetni sklep sicer ni privilegij le obravnavanih
tuljav. Ustvarja ga tudi poljubna električna naprava z navitjem
(transformator, elektromotor, rele, ...), kakor tudi preprost, ravni
vodnik. |
|
|
|
|
|
|
|
|
|
|
►
|
Lastnosti vodnikov, tuljav in navitij, da z električnim
tokom ustvarjajo magnetni sklep, pravimo
induktivnost (L). |
 |
|
 |
|
|
|
|
|
|
|
|
Za elektrotehniško prakso je pomembno, kolikšen magnetni sklep ustvari
električni tok ali kolikšna je induktivnost npr. tuljave. |
|
|
|
|
|
|
|
|
|
|
► |
Induktivnost je določena z magnetnim sklepom na
enoto toka, ki povzroča magnetni sklep. |
 |
 |
 |
|
|
|
|
|
|
|
|
|
|
|
Wb/A = henri1
= H |
Ψ(Wb); I(A) |
|
|
|
|
|
|
|
|
|
|
|
► |
Osnovna enota za induktivnost je Wb/A,
imenujemo jo (H). |
 |
|
► |
Magnetni tokokrog ima induktivnost 1 H, če s tokom 1 A
ustvarja magnetni sklep 1 Wb. |
|
 |
 |
|
|
|
|
|
|
|
|
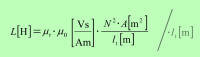
Zaradi znanih težav z obravnavo in računanjem
nehomogenih magnetnih polj si oglejmo odvisnost induktivnosti toroidne
(sl. 6.2.2.1a). Upoštevajoč enačbe dobimo: |
|
|
|
|
|
L | = |
N
· Φ

I |
|
| = |
N
· B
· A

I |
|
| = |
N
· μ
· H
· A

I |
|
| = | |
N
· μ
· |
I
· N

l |
|
|
A |
 |
|
| = |
μ
· N2
· A

l |
|
|
|
|
|
|
|
|
|
(H)
μo(Wb/Am);
N = št. ovojev; A(m2);
l(m) |
|
|
|
|
|
|
Enačba 6.2.2.1 |
|
|
|
|
|
|
|
|
|
|
► |
Induktivnost tuljave je premo sorazmerna s permeabilnostjo,
kvadratom števila ovojev in prerezom tuljave ter
obratno sorazmerna z dolžino tuljave. |
 |
|
► |
Induktivnost je snovno-geometrijska lastnost tuljave. |
|
 |
 |
|
|
|
|
|
|
|
|
Meritve so potrdile, da lahko z dobljeno enačbo
kolikor toliko točno izračunamo poleg induktivnosti toroidne
tuljave tudi dolge ravne tuljave (sl. 6.2.2.1b,
ls ≈
lt). Za
vse druge primere pa ima enačba 6.2.2.1 iz znanih razlogov le
orientacijski pomen. |
|
|
|
|
|
|
|
 |
|
 |
|
|
|
|
|
|
 |
|
 |
|
|
|
|
|
|
|
|
|
|
|
|
|
1 Henry, ameriški
fizik
|
|
|
|
|
|
|
|
|
|
|
|
|
|
|
   |
|
|