|
|
 |
|
 |
 |
 |
|
|
4.2.1.2 Odvisnost
kapacitivnosti kondenzatorja
|
 |
|
|
|
|
Praktične izvedbe kondenzatorjev so različne (fotografija
4.2.1.1). Njihova kapacitivnost ni vedno enostavno določljiva, zato se
bomo seznanili s kapacitivnostjo izvedbe, ki sestoji le iz dveh
vzporednih prevodnih plošč in dielektrika (slika 4.2.1.2.1). |
|
|
|
|
|
|
|
|
|
|
|
Za določitev kapacitivnosti takega kondenzatorja uporabimo enačbe
4.2.1,
4.1.4.1,
4.1.4.2 ter
4.1.2.2: |
|
|
|
|
|
|
|
|
|
|
C | = |
Q

U |
|
| = | |
D · A

E · d |
|
| = |
ε0 · εr
· E · A

E · d | |
|
|
|
|
|
|
|
|
|
|
|
|
|
|
|
|
|
|
|
|
|
|
|
► |
Kapacitivnost kondenzatorja je snovnogeometrijska lastnost. |
 |
|
► |
Kapacitivnost kondenzatorja je premo sorazmerna z
dielektričnostjo dielektrika in površino plošč ter
obratno sorazmerna z medsebojno razdaljo plošč. |
|
 |
 |
|
|
|
|
|
|
|
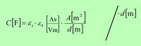
Enačba 4.2.1.2.1 velja za kondenzatorje s homogenim
električnim poljem ter določljivo površino in medsebojno razdaljo
plošč (slika 4.2.1.2.1). V osnovi pa velja za vse kondenzatorje, da večjo
kapacitivnost dobimo z večjo površino plošč in manjšo razdaljo med
njimi. |
|
|
|
|
|
|
|
Do zanimive ugotovitve pridemo pri dimenzijah
kondenzatorja na
sliki 4.2.1.2.2. Za tak primer lahko na osnovi
enačbe 4.2.1.2.1
sklepamo: |
|
|
|
|
|
|
|
|
► |
Kapacitivnost kondenzatorja pri A = 1 m2
in d = 1 m je določena z dielektričnostjo
dielektrika kondenzatorja. |
 |
|
► |
Dielektričnost dielektrika kondenzatorja je določena s
kapacitivnostjo kondenzatorja pri A = 1 m2
in d = 1 m. |
|
 |
 |
|
|
|
|
|
|
Odvisnost kapacitivnosti (enačba
4.2.1.2.1) omogoča uporabo
kondenzatorja tudi kot dajalnika signala, ki ga elektronsko vezje
naprave preoblikuje v koristno informacijo (sliki 4.2.1.2.3). |
|
|
|
|
|
 |
|
 |
|
|
|
|
|
 |
|
 |
|
|
|
|
|
|
 |
|
 |
|
|
|
|
|
|
|
|
|
|
|
|
|
  
|
|
|
|
|
|
|
|
|
|
|
|
|
|
|
|
|
|
|
|
|
|
|
|
|
|
|
|
|
|
|
|
|
|
|
|
|
|