 |
Z ampermetrom, katerega merilno območje je 50 mA in
notranja upornost 3,6 Ω, želimo meriti toke do 500 mA. Kolikšna mora
biti upornost potrebnega soupora (slika 3.1.2.3.3.2)?
Največji tok, ki lahko teče skozi A-meter, je 50 mA. To pomeni, da moramo
po vzporedni poti mimo A-metra, skozi soupor, speljati »presežek« toka IS:
I = IA + IS
=>
IS = I - IA
= 500 mA - 50 mA = 450 mA
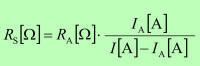
Pri deljenju toka na vzporedna porabnika velja
obratno sorazmerje tokov in upornosti, zato lahko zapišemo in izračunamo |
| |
|
RS | = |
|
IA

IS
|
| · |
RA |
|
| = |
|
50 mA
 450
mA
|
|
· | 3,6 Ω |
|
| = |
0,4 Ω |
|
|
 |